| 일 | 월 | 화 | 수 | 목 | 금 | 토 |
|---|---|---|---|---|---|---|
| 1 | 2 | 3 | 4 | 5 | 6 | 7 |
| 8 | 9 | 10 | 11 | 12 | 13 | 14 |
| 15 | 16 | 17 | 18 | 19 | 20 | 21 |
| 22 | 23 | 24 | 25 | 26 | 27 | 28 |
- HMM
- COVID
- CNN
- 바이오파이썬
- 결정트리
- 자바
- RNN
- 파이썬
- 인공지능 수학
- SVM
- AP
- 오류역전파
- 블록체인
- 캐글
- 인공지능
- ncbi
- Kaggle
- MERS
- Java
- 인공신경망
- 생물정보학
- 시그모이드
- 바이오인포매틱스
- 생명정보학
- 딥러닝
- bioinformatics
- AP Computer Science A
- BLaST
- 이항분포
- 서열정렬
- Today
- Total
데이터 과학
인공지능 편미분 (Partial Derivative) 본문
고등학교 교육과정에는 없으며 대학교 공업수학에서 나오는 내용인데 요즘은 인공신경망에서 나오는 내용으로 전미분 이후에 학습하고 있습니다.
편미분의 의미는 간단합니다. 여러변수들이 있는데 그중에 하나만 미분하고 나머지는 상수로 취급해서 정의 내리는 것입니다.
라운드 d(partial)를 사용해서 z를 x에 대해 편미분 한다라는 것은 다음과 같이 표기됩니다.

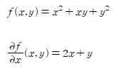
많이 쓰는 예제를 보면 다음과 같습니다.

이 내용은 x에 대한 편미분입니다. 나머지 y^2값은 상수값으로 취급되어서 0으로 되었습니다.
인공신경망 오류역전파에서 이 편미분 내용으로 변화율을 찾는데 여기에 연쇄법칙이 하나 더 있습니다. 연쇄법칙을 사용하면 좀 더 쉽고 간단하게 접근 할 수 있습니다.

간단하게 표현한 연쇄법칙 수식인데 각각 y에 대한 편미분과 x에 대한 편미분으로 표현하여 z를 x에 대한 편미분값으로 나타낼 수 있는 방법입니다.
https://blog.naver.com/PostView.nhn?blogId=leesu52&logNo=90172807867
6장 Chain rule (연쇄법칙), 합성함수의 미분 [ y=f(g(x)) ]
6장은 chain rule에 대한 내용 입니다. chain rule이 뭐였더라 생각을 아무리 해봐도 한글로 뭔지 기억이 ...
blog.naver.com
https://ko.wikipedia.org/wiki/%EC%97%B0%EC%87%84_%EB%B2%95%EC%B9%99
연쇄 법칙 - 위키백과, 우리 모두의 백과사전
위키백과, 우리 모두의 백과사전. 미적분학에서 연쇄 법칙(連鎖法則, 영어: chain rule)은 함수의 합성의 도함수에 대한 공식이다. 실변수 실숫값 함수[편집] 함수 g {\displaystyle g} 가 x 0 {\displaystyle x_
ko.wikipedia.org
자연대수 미분
지수함수 미분 , 자연상수 e 기원과 개념 완전히 이해하기
지수함수 미분은 상당히 어려운 영역이라 고등학교 때 이해를 하는 것은 무리다 (대학교 때도 닥치고 외우...
blog.naver.com
https://color-change.tistory.com/50
지수함수의 미분, 자연로그의 미분 증명
::지수함수의 미분, 자연로그의 미분 증명:: - (e^x-1)/x, e^x, a^x, ln(x), loga(x) 이 포스팅은 지수함수의 미분(e^x-1/x, e^x), 자연로그(lnx)의 미분에 관한 글 입니다. 자연상수는 파이(pi)와 함께 거론되..
color-change.tistory.com
'인공지능 > 인공지능과 수학' 카테고리의 다른 글
| 인공지능 확률 (0) | 2022.08.02 |
|---|---|
| 인공지능, 접선의 기울기와 경사하강법 (0) | 2022.08.01 |
| 인공지능 벡터, 텐서 (0) | 2022.07.31 |
| 인공지능 행렬 (0) | 2022.07.31 |
| 인공지능 기초함수 (0) | 2022.07.31 |