Notice
Recent Posts
Recent Comments
Link
| 일 | 월 | 화 | 수 | 목 | 금 | 토 |
|---|---|---|---|---|---|---|
| 1 | 2 | 3 | 4 | 5 | 6 | 7 |
| 8 | 9 | 10 | 11 | 12 | 13 | 14 |
| 15 | 16 | 17 | 18 | 19 | 20 | 21 |
| 22 | 23 | 24 | 25 | 26 | 27 | 28 |
Tags
- 바이오파이썬
- 시그모이드
- SVM
- COVID
- MERS
- ncbi
- 캐글
- 바이오인포매틱스
- 오류역전파
- Java
- 파이썬
- RNN
- 서열정렬
- HMM
- 결정트리
- 생명정보학
- Kaggle
- 인공신경망
- 이항분포
- 생물정보학
- 자바
- AP
- AP Computer Science A
- BLaST
- 딥러닝
- 블록체인
- CNN
- bioinformatics
- 인공지능
- 인공지능 수학
Archives
- Today
- Total
데이터 과학
모수와 통계량 본문
간단히 정의하면,
모수(parameter)는 모집단의 대표값을 나타내는 것이고, 통계량 (statistic)은 표본의 대표값들입니다.
일반적으로 모집단과 표본을 기준으로 데이터 분석을 나눠서 설명하는데 여기서 나오는 평균과 표준편차를 구분할 때 모수와 통계량으로 구분합니다.
사용하는 공식과 용어도 다르게 사용합니다.
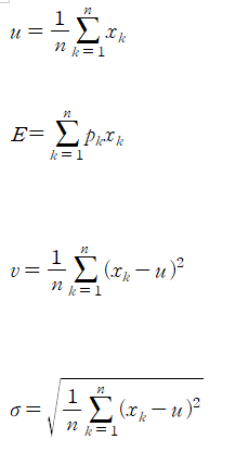
모집단에서 평균은 μ 기호를 사용합니다. 부를때 뮤(Mu)라고 합니다. 표준편차는 시그마로 표기합니다.
차후에 모평균, 모분산이라는 용어를 사용합니다.
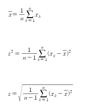
표본에서는 통계량이라고들 부르는데 이때 평균은 (xˉ)엑스 바라고 부릅니다. 차후에 모집단을 추정할 때 평균값으로 모수를 추정하기에 공식에서 차이는 없습니다. 단지, 표준편차에서는 기호를 s로 사용하는데 이때 자유도를 활용합니다.
통계학은 표본(sample)을 표집화(sampling)하여 모집단(population)을 추정하는 학문입니다. 표본을 잘 활용해야겠죠.
'AP > AP Statistics' 카테고리의 다른 글
| 이항분포에서 정규화 (0) | 2025.01.23 |
|---|---|
| 모수와 비모수 (0) | 2025.01.12 |
| 정성적 데이터와 정량적 데이터 (0) | 2025.01.12 |
| 기술 통계학과 추론 통계학 (0) | 2025.01.12 |
| 신뢰구간 문제 풀이 (0) | 2023.04.25 |