| 일 | 월 | 화 | 수 | 목 | 금 | 토 |
|---|---|---|---|---|---|---|
| 1 | 2 | 3 | 4 | 5 | 6 | 7 |
| 8 | 9 | 10 | 11 | 12 | 13 | 14 |
| 15 | 16 | 17 | 18 | 19 | 20 | 21 |
| 22 | 23 | 24 | 25 | 26 | 27 | 28 |
- 바이오파이썬
- COVID
- Java
- SVM
- bioinformatics
- 오류역전파
- 생명정보학
- HMM
- ncbi
- BLaST
- Kaggle
- 이항분포
- CNN
- 바이오인포매틱스
- 딥러닝
- 캐글
- 자바
- 결정트리
- 서열정렬
- 인공신경망
- MERS
- 시그모이드
- RNN
- 인공지능
- 생물정보학
- 파이썬
- AP Computer Science A
- 블록체인
- 인공지능 수학
- AP
- Today
- Total
데이터 과학
신뢰구간 문제 풀이 본문
신뢰구간을 설명하는 예제를 한번 풀어봅시다.
예제 1) 선거 비용에 대한 자료 조사로 선거에 참여한 49명을 SRS (단순 임의 표본)으로 선택하였으며, 이들이 사용한 선거 평균 비용은 12,300만원이며 표준편차는 3000만원입니다. 90%의 신뢰구간에서 해당되는 선거 비용에 대한 예측값은 얼마인지 설명하시오.
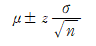
표집분포에서 신뢰구간에 대한 공식은 다음과 같습니다.

뮤는 평균값이고, z*시그마/루트 n은 오차범위(margin of error) 입니다.
평균으로 부터 멀어져 있는 범위인데, 이 범위 안에 평균값이 들어오는 확률이 90%일때 신뢰구간이 90%의 의미로 나타낼 수 있습니다.
아를 풀이해 보면
12,300만원 +- (1.645)* 3000/루트(49) (만원) 입니다.
1.645를 3000으로 곱한것을 7로 나누면 705만원이며 이에 대한 범위가 신뢰구간 90%에 해당되는 범위입니다.
11,595만원~13,005만원에서의 범위가 있으며 100번 정도 구간을 만들었을때 평균값이 90번 이 구간안에 들어오겠네요.
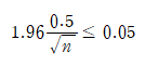
예제 2) 코로나 환자의 급증으로 환자 표본을 구하려고 합니다. 95%의 신뢰구간에서 오차범위 +-5% 정도에서 찾아봅시다.
예제 2번의 문제는 표본 갯수를 구하는 문제입니다. 표본의 갯수를 구하는 문제는 출제 경향이 짙은 문제인데 한번 풀이해 보면 다음과 같습니다.
1.96 (0.5/ 루트 n) <_ 0.05
이 내용은 오차범위(margin of error)에서 나오는 문제입니다.

오차범위를 이용하는 문제인데 표준편차 값이 없을때는 0.5를 기본적으로 사용합니다.

이렇게 기본수식을 놓고 계산을 해보면 다음과 같습니다.

표본으로 385명이 필요합니다.
예제 3) 신뢰구간이 좁다(narrow)라는 의미에 대해 설명해 보세요.
샘플이 많으면 좁게 나옵니다. 표본의 갯수가 많아지면 표준편차를 그 수 만큼 나눌 수 있기에 n개의 값이 많아져야 합니다.
여기에 신뢰구간이 90% (1.645)- 95% (1.96) - 99% (2.576) 순으로 나와야 겠지요.
예제 4) 신뢰구간 추정치를 90%에서 95%의 범위로 변화를 주었다라는 의미에 대해 설명해 주세요.
신뢰구간에 대한 범위를 변화 한 것이에 z값은 1.645에서 1.96에 대한 변환을 의미합니다. 1.96/1.645 = 1.19 정도 값이 나타나기에 이는 비율로 보면 19% 증가한 것이라 할수 있습니다.
예제 5) 코로나 백신 접종자수 500명을 조사하였을 경우 접종 비율이 85%이며 이에 대한 오차범위 3%에 대한 의미에 대해 설명해 보세요.
이는 접종자수의 82%에서 88% 의 범위에 놓여져 있다는 것을 의미합니다.
'AP > AP Statistics' 카테고리의 다른 글
| 정성적 데이터와 정량적 데이터 (0) | 2025.01.12 |
|---|---|
| 기술 통계학과 추론 통계학 (0) | 2025.01.12 |
| 이항분포 (0) | 2023.04.16 |
| 자유도 (0) | 2023.03.31 |
| 실험과 관찰학습 (0) | 2023.01.09 |