| 일 | 월 | 화 | 수 | 목 | 금 | 토 |
|---|---|---|---|---|---|---|
| 1 | 2 | 3 | 4 | 5 | 6 | 7 |
| 8 | 9 | 10 | 11 | 12 | 13 | 14 |
| 15 | 16 | 17 | 18 | 19 | 20 | 21 |
| 22 | 23 | 24 | 25 | 26 | 27 | 28 |
- Kaggle
- 결정트리
- 캐글
- Java
- 서열정렬
- 시그모이드
- 블록체인
- 자바
- 인공신경망
- AP Computer Science A
- 바이오인포매틱스
- 인공지능 수학
- RNN
- 바이오파이썬
- 생명정보학
- bioinformatics
- 인공지능
- COVID
- AP
- 이항분포
- CNN
- 딥러닝
- 파이썬
- 오류역전파
- BLaST
- 생물정보학
- MERS
- SVM
- HMM
- ncbi
- Today
- Total
데이터 과학
슈뢰딩거 이론 본문
20세기 초, 전자와 같은 미시 세계의 입자가 기존 물리학으로 설명되지 않는다는 사실이 드러나기 시작합니다. 전자의 거동을 실험으로 관찰하면, 때로는 입자처럼 보이고 다른 상황에서는 파동처럼 보이는 모순된 결과가 나타납니다. 드브로이는 모든 물체는 파동성을 가진다고 제안하며 파장 λ=h/p 관계를 발표합니다. 슈뢰딩거는 이러한 생각을 확장하여, 미시 입자를 단순한 점으로 보지 않고, 파동함수라는 수학적 함수로 표현할 수 있다는 관점을 제시합니다. 그는 전자의 상태를 ψ(r,t)라는 파동함수로 나타내며, 이 함수의 시간에 따른 변화를 결정하는 새로운 운동법칙을 세웁니다. 이 운동 법칙이 바로 슈뢰딩거 방정식입니다.
파동함수 ψ 자체는 관측 가능한 물리량을 의미하지 않습니다. 그러나 보른의 확률 해석에 따르면, |ψ(r,t)|^2 값이 주어진 공간에서 전자를 발견할 확률밀도를 의미합니다. 따라서 파동함수는 전체 공간에서 확률이 1이 되도록 정규화되어야 하며, 이는 파동함수가 “입자가 존재할 수 있는 가능성을 나타내는 지도”라는 의미를 갖습니다.
이 지도를 통해 우리는 전자가 어느 위치에서 발견될 가능성이 높은 지를 예측할 수 있습니다. 즉, 고전적인 세계에서는 입자의 위치와 운동량을 동시에 정확하게 알 수 있지만, 양자 세계에서는 그저 확률로만 입자의 위치를 설명할 수 있습니다.
슈뢰딩거 방정식은 양자 세계에서의 운동법칙을 제공하며, 파동함수가 시간에 따라 어떻게 변화하는지를 설명합니다. 시간에 따라 상태가 변하는 경우, 방정식은 iℏ(∂ψ/∂t)=H^ψ형태로 표현됩니다. 여기서 H^(hat)는 해밀토니언 연산자로, 입자의 전체 에너지를 의미합니다. 해밀토니언은 운동에너지와 퍼텐셜 에너지의 합으로 구성되며, 이때 운동에너지 항은 운동량 연산자를 제곱하여 나타낼 수 있습니다. 이 과정에서 등장하는 −(ℏ^2/2m)∇^2 항은 파동함수의 위치에 따른 곡률을 측정하는 것으로, 파동이 얼마나 구부러지는지가 운동에너지와 연관된다는 사실을 의미합니다.
퍼텐셜이 시간이 지나도 변하지 않는 경우, 슈뢰딩거 방정식은 시간에 대한 변화와 공간에 대한 변화를 분리하여 쓸 수 있습니다. 이때 파동함수는 공간적 형태 ϕ(r)와 시간 변화 e^(−iEt/ℏ}의 곱으로 나타나며, 공간에 대한 식은 H^ϕ=Eϕ라는 형태가 됩니다. 이는 에너지 고유값 EE와 그에 해당하는 고유상태 ϕ(phi)를 결정하는 문제로, 가능한 에너지 값이 특정한 값으로 제한된다는 사실을 보여줍니다. 이러한 현상이 바로 에너지의 양자화이며, 전자가 일정한 에너지 준위에서만 존재할 수 있다는 원자의 구조가 여기서 설명됩니다.
시간 비의존 방정식의 해들은 서로 직교하며 정규화할 수 있습니다. 이는 파동함수들이 서로 중첩될 수 있음을 의미합니다. 하나의 양자 상태는 여러 개의 고유 상태가 중첩된 형태로 표현되며, 각 고유 상태가 측정될 확률은 계수의 절댓값 제곱으로 결정됩니다. 이러한 중첩 원리는 관측 전에는 여러 상태가 동시에 존재할 수 있음을 보여줍니다.
슈뢰딩거 방정식은 확률 보존을 보장합니다. 이 방정식은 확률이 시간에 따라 변화하지 않음을 연속 방정식으로 표현합니다. 이는 확률이 공간적으로 이동할 수는 있지만 전체 합이 사라지거나 증가하지 않음을 의미하며, 파동함수의 물리적 의미를 유지하는 핵심 원리입니다. 또한, 양자역학에서는 위치와 운동량을 동시에 정확하게 알 수 없으며, ΔxΔp≥ℏ/2라는 불확정성 원리가 이를 설명합니다. 슈뢰딩거의 고양이 사고실험은 관측이 이루어지기 전까지 양자 상태가 중첩된다는 개념을 직관적으로 보여줍니다.
슈뢰딩거 이론은 원자 내부의 에너지준위, 분자 결합 형태, 반도체의 전자 밴드 구조 등 현대 과학 기술과 화학 이론의 중심을 설명합니다. 이 방정식을 통해 우리는 원자의 스펙트럼을 계산하고, 레이저와 반도체 소자의 동작 원리를 이해할 수 있습니다. 큰 스케일로 갈수록 양자역학의 해는 고전적 궤적과 일치하며, 이는 양자역학이 고전역학을 포괄하는 더 넓은 이론임을 의미합니다.
결국, 슈뢰딩거 이론은 미시 세계를 바라보는 관점을 완전히 바꾸어 놓습니다. 입자는 고정된 위치를 가진 점이 아니라, 확률적으로 퍼져 있는 파동함수로 존재합니다. 슈뢰딩거 방정식은 그 파동함수가 시간과 공간에서 어떻게 변하는지를 결정하는 법칙이며, 현대 물리학의 핵심을 이루는 개념입니다.
파동함수 프사이
양자역학에서 ψ(x,t) 는 입자의 상태를 나타내는 파동함수(wave function)입니다.
이 ψ는 위치 x에 따라 진동하는 복소수 파동이에요.
예를 들어,
자유입자의 경우 파동함수는 이렇게 생겼습니다:
ψ(x)=Ae^ikx
여기서 k는 파동수, 파동의 진동 빈도를 나타냅니다.
운동 에너지와 2차 미분의 관계
고전역학에서는 운동에너지가 이렇게 주어집니다:

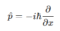
양자역학에서는 ‘운동량’을 수학적으로 연산자로 바꾸어요:

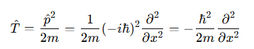
그럼 운동에너지 연산자는 이렇게 됩니다:

‘운동에너지’를 계산하려면 파동함수를 두 번 미분해야 하는 이유가 바로 여기에 있습니다.
1차 미분 → 운동량
2차 미분 → 운동량의 제곱 → 운동에너지
왜 ψ를 곱하고 다시 미분하는가?
슈뢰딩거 방정식의 운동에너지 항은 다음과 같이 작용합니다:

이건 단순히 “미분 후 곱한다”가 아니라,
“운동에너지 연산자가 ψ에 작용한다”는 뜻이에요.
즉, 연산자(operator) 가 함수(ψ) 에 ‘작용’한다는 수학적 개념입니다.
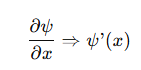
1차 미분:

이건 “ψ의 변화율”, 즉 위치가 조금 변할 때 파동 변화율
2차 미분:

이건 “변화율의 변화율”, 즉 파동의 ‘곡률(curvature)’ 입니다.
파동의 곡률은 그 점에서의 에너지 상태와 진동 정도를 결정합니다.
파동이 더 급하게 휘어져 있을수록 → 운동에너지가 크다는 뜻입니다.

파동이 많이 굽을수록(즉, 곡률이 크면)
에너지가 높아집니다.
바로 운동에너지 항과 2차 미분이 연결되는 이유입니다.


'양자컴퓨터' 카테고리의 다른 글
| 그로버 알고리즘 개요 (0) | 2025.11.07 |
|---|---|
| 파울리의 배타 원리 (0) | 2025.10.31 |
| 블로흐 구(Bloch Sphere) (0) | 2025.09.19 |
| 이중슬릿과 중첩 (0) | 2025.09.11 |
| 쇼어 알고리즘 (0) | 2025.03.23 |